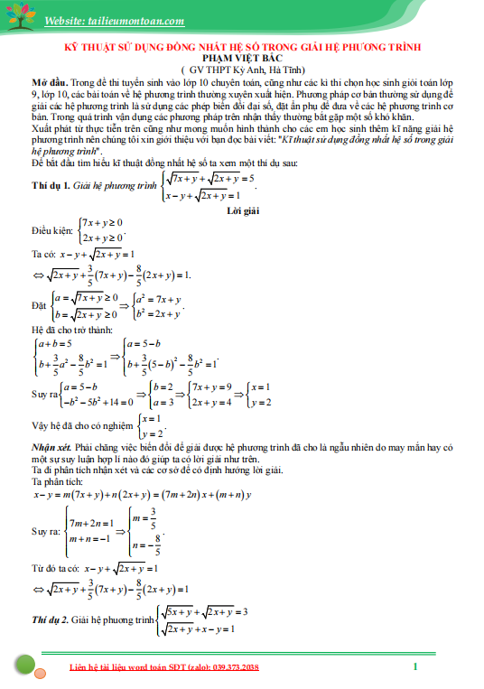
Kĩ thuật đồng nhất hệ số để giải hệ phương trình
Tác giả / Nguồn: Sưu tầm
ĐỌC SÁCH ONLINE
Xem thêm tài liệu miễn phí khác hay hơn đây bạn nhé...
Củng cố kiến thức toán 8 tập 2
Đề thi thử toán vào lớp 10 thành phố hồ chí minh năm 2023
Đề học sinh giỏi lớp 9 môn toán quận Đống Đa năm 2020-2021
Đề toán vào lớp 10 tỉnh Yên Bái năm 2019-2020
Bạn kham khảo thêm tài liệu phí nhé ?...Xem miễn phí dưới đây nhé.
Phân dạng toán thực tế luyện thi vào lớp 10
Tuyển tập đề thi học sinh giỏi Casio
Toán thực tế lớp 9 chương trình mới
Bộ đề thi vào lớp 10 chuyên môn toán tỉnh nghệ an
Các chuyên đề nâng cao toán lớp 7
Giáo án môn toán lớp 8 theo công văn số 5512
Ôn luyện toán 9 chương trình mới
Chuyên đề rút gọn biểu thức và bài toán liên quan
Đề học kì 2 toán lớp 7 chân trời sáng tạo 2025
File word Tài liệu tự học môn toán lớp 7
Đề giữa kì 1 lớp 8 chân trời sáng tạo
Đề học kì 1 môn toán lớp 8 chân trời sáng tạo năm 2024
Đề cương giữa kì 1 môn toán lớp 9 cánh diều
Đề thi thử vào lớp 10 tỉnh Bắc Ninh năm 2021-2022
Đề thi thử vào lớp 10 Hà Nội năm học 2023-2024
File word Tuyển tập đề thi học sinh giỏi toán lớp 9 thành phố Hà Nội
Kĩ thuật đồng nhất hệ số để giải hệ phương trình
Thầy cô giáo và các em học sinh có nhu cầu tải các tài liệu dưới dạng định dạng word có thể liên hệ đăng kí thành viên Vip của Website: tailieumontoan.com liên hệ qua số điện thoại (zalo ): 0393.732.038
Điện thoại: 039.373.2038 (zalo web cũng số này, các bạn có thể kết bạn, mình sẽ giúp đỡ)
Kênh Youtube: https://www.youtube.com/@tailieumontoan507
Email: tailieumontoan.com@gmail.com
Group Tài liệu toán đặc sắc: https://bit.ly/2MtVGKW
Page Tài liệu toán học: https://bit.ly/2VbEOwC
Website: http://tailieumontoan.com
Link nhóm Zalo cộng đồng: https://tailieumontoan.com/zalo
