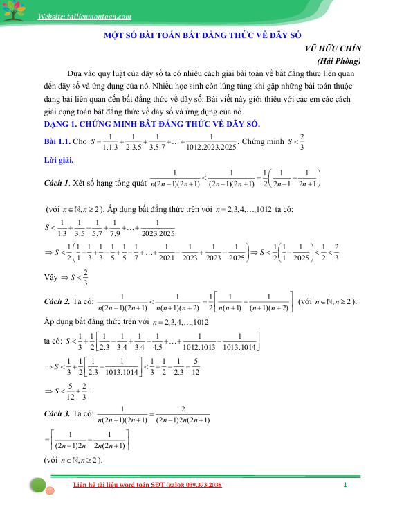
Một số dạng toán về bất đẳng thức dãy số
Tác giả / Nguồn: Sưu tầm
ĐỌC SÁCH ONLINE
Xem thêm tài liệu miễn phí khác hay hơn đây bạn nhé...
Đề toán vào lớp 10 tỉnh Thái Bình năm 2021
Bài toán tìm giá trị lớn nhất, nhỏ nhất liên quan đến đường thẳng y = ax + b
Chuyê đề số nguyên tố, hợp số bồi dưỡng toán lớp 7
Bạn kham khảo thêm tài liệu phí nhé ?...Xem miễn phí dưới đây nhé.
Ba dạng trắc nghiệm toán lớp 9 chương trình mới
Đề học kì 1 môn toán lớp 6 chân trời sáng tạo 2024
Đề cương học kì 1 môn toán lớp 6 năm 2022
Đề cương giữa kì 1 môn toán lớp 9 kết nối tri thức
Đề giữa kì 1 môn toán lớp 6 năm 2022
Đề học kì 1 môn toán lớp 9 CTST ba dạng trắc nghiệm
Tuyển tập đề toán vào lớp 10 chuyên Nghệ An
Bộ đề thi học sinh giỏi toán 7 chương trình mới
Đề học kì 1 moôn toán lớp 9 chương trình mới
File word Tuyên chọn 50 đề thi vào lớp 10 chuyên môn toán có đáp án
23 chuyên đề bồi dưỡng học sinh giỏi môn toán lớp 9
Đề cương học kì 1 môn toán lớp 7 năm 2022
Bài tập toán 8 kết nối tri thức
Bồi dưỡng năng lực tự học lớp 8 theo chương trình mới
File word chuyên đề số chính phương
Đề cương học kì 1 môn toán lớp 8
31 đề học kì 1 môn toán lớp 9 chương trình mới 2024-2025
Đề giữa kì 2 môn toán lớp 7 cánh diều
Một số dạng toán về bất đẳng thức dãy số
Thầy cô giáo và các em học sinh có nhu cầu tải các tài liệu dưới dạng định dạng word có thể liên hệ đăng kí thành viên Vip của Website: tailieumontoan.com liên hệ qua số điện thoại (zalo ): 0393.732.038
Điện thoại: 039.373.2038 (zalo web cũng số này, các bạn có thể kết bạn, mình sẽ giúp đỡ)
Kênh Youtube: https://www.youtube.com/@tailieumontoan507
Email: tailieumontoan.com@gmail.com
Group Tài liệu toán đặc sắc: https://bit.ly/2MtVGKW
Page Tài liệu toán học: https://bit.ly/2VbEOwC
Website: http://tailieumontoan.com
Link nhóm Zalo cộng đồng: https://tailieumontoan.com/zalo
