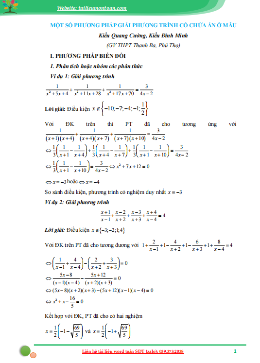
Một số phương pháp giải phương trình chứa ẩn ở mẫu
Tác giả / Nguồn: Sưu tầm
ĐỌC SÁCH ONLINE
Xem thêm tài liệu miễn phí khác hay hơn đây bạn nhé...
Đề thi giữa kì 1 môn toán lớp 6 thành phố hồ chí minh
Bộ đề toán viết tay vào lớp 10 Hà nội
Đề toán vào lớp 10 tỉnh Yên Bái năm 2019-2020
Sách giáo khoa toán lớp 8 cánh diều tập 1
Ôn tập hè toán 6 lên 7 chương trình mới
Bạn kham khảo thêm tài liệu phí nhé ?...Xem miễn phí dưới đây nhé.
Bộ đề toán viết tay vào lớp 10 Hà nội
Đề thi giữa kì 1 môn toán lớp 6 thành phố hồ chí minh
File word bộ đề kiểm tra một tiết toán đại số lớp 9
Phiếu bài tập cánh diều 7 tập 2
Đề vào lớp 10 chương trình mới năm 2024
Đề thi học sinh giỏi toán 9 cấp tỉnh năm 2024
Đề cương giữa kì 1 môn toán lớp 6
Các dạng toán thực tế ôn thi lớp 10
Các dạng toán trắc nghiệm toán lớp 7
Đề học kì 2 môn toán 8 chân trời sáng tạo 2025
65 đề môn toán vào lớp 10 chuyên khoa học tự nhiên
Chuyên đề hình trụ, nón, cầu luyện thi lớp 10
Tài liệu dạy học môn toán lớp 9 tập 1
Đề giữa kì 2 môn toán lớp 7 chương trình mới
Đề giữa kì 2 môn toán lớp 6 kết nối tri thức năm 2024
Đề học sinh giỏi môn toán lớp 9 cấp tỉnh năm 2022-2023
Đề cương giữa kì 1 môn toán lớp 9 kết nối tri thức
Một số phương pháp giải phương trình chứa ẩn ở mẫu
Thầy cô giáo và các em học sinh có nhu cầu tải các tài liệu dưới dạng định dạng word có thể liên hệ đăng kí thành viên Vip của Website: tailieumontoan.com liên hệ qua số điện thoại (zalo ): 0393.732.038
Điện thoại: 039.373.2038 (zalo web cũng số này, các bạn có thể kết bạn, mình sẽ giúp đỡ)
Kênh Youtube: https://www.youtube.com/@tailieumontoan507
Email: tailieumontoan.com@gmail.com
Group Tài liệu toán đặc sắc: https://bit.ly/2MtVGKW
Page Tài liệu toán học: https://bit.ly/2VbEOwC
Website: http://tailieumontoan.com
Link nhóm Zalo cộng đồng: https://tailieumontoan.com/zalo
