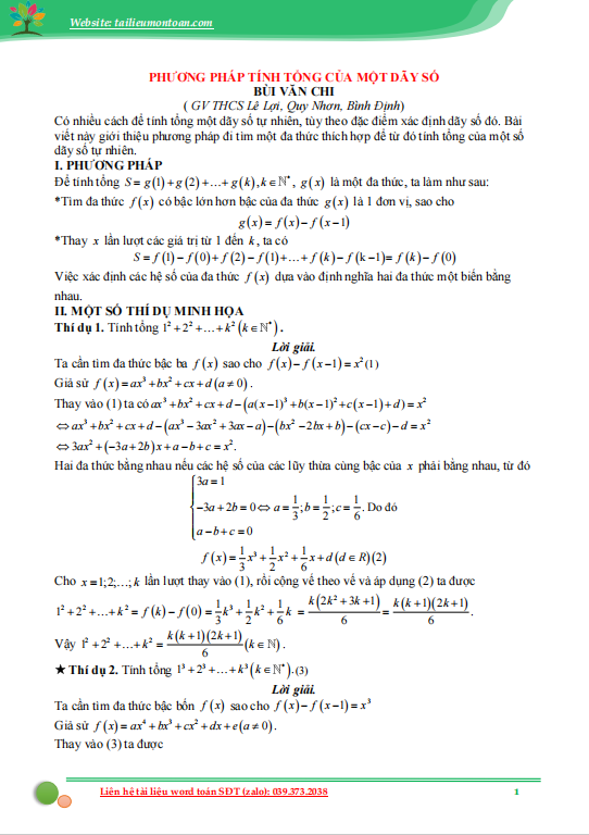
Phương pháp tính tổng của một dãy số
Tác giả / Nguồn: Sưu tầm
ĐỌC SÁCH ONLINE
Xem thêm tài liệu miễn phí khác hay hơn đây bạn nhé...
Đề chọn học sinh giỏi toán lớp 9 tỉnh Đà Nẵng năm 2010-2011
36 Chủ đề đại số bồi dưỡng học sinh giỏi lớp 7
Đề thi thử THPTQG môn toán chuyên Vinh năm 2019-2020
Bạn kham khảo thêm tài liệu phí nhé ?...Xem miễn phí dưới đây nhé.
Các chuyên đề nâng cao toán lớp 7
File word Tuyển tập 30 đề thi giáo viên dạy giỏi toán THCS
26 chuyên đề bồi dưỡng học sinh giỏi lớp 8 đại số
Dạy thêm toán lớp 9 tập 1 chương trình mới
Đề thi học sinh giỏi toán lớp 9 năm 2025
File word các bài toán về số chính phương, lập phương
Đề học kì 1 lớp 6 kết nối tri thức năm 2024
23 chuyên đề bồi dưỡng học sinh giỏi môn toán lớp 9
Bộ đề kiểm tra 45 phút đại số môn toán lớp 7
100 đề thi toán lớp 10 cấu trúc Hải Phòng năm học 2025-2026
Các chuyên đề dạy thêm toán lớp 9
Phương pháp giải phương trình vô tỷ
Tuyển tập đề thi vào lớp 10 thành phố Hà Nội
File word chuyên đề các bài toán về cấu tạo số
Phương pháp tính tổng của một dãy số
Thầy cô giáo và các em học sinh có nhu cầu tải các tài liệu dưới dạng định dạng word có thể liên hệ đăng kí thành viên Vip của Website: tailieumontoan.com liên hệ qua số điện thoại (zalo ): 0393.732.038
Điện thoại: 039.373.2038 (zalo web cũng số này, các bạn có thể kết bạn, mình sẽ giúp đỡ)
Kênh Youtube: https://www.youtube.com/@tailieumontoan507
Email: tailieumontoan.com@gmail.com
Group Tài liệu toán đặc sắc: https://bit.ly/2MtVGKW
Page Tài liệu toán học: https://bit.ly/2VbEOwC
Website: http://tailieumontoan.com
Link nhóm Zalo cộng đồng: https://tailieumontoan.com/zalo
