Giới thiệu
Thảo luận
File word
Liên hệ
Đăng ký VIP
Đăng nhập
Đăng ký
Toán 6
Tài liệu Toán 6
Đề Cương Toán 6
Đề giữa HK1 Toán 6
Đề HK1 Toán 6
Đề giữa HK2 Toán 6
Đề HK2 Toán 6
Đề khảo sát Toán 6
Đề HSG Toán 6
Giáo án toán 6
Khóa học lớp 6
Kênh youtube
Toán 7
Tài liệu Toán 7
Đề Cương Toán 7
Đề giữa HK1 Toán 7
Đề HK1 Toán 7
Đề giữa HK2 Toán 7
Đề HK2 Toán 7
Đề khảo sát Toán 7
Đề HSG Toán 7
Giáo án toán 7
Khóa học lớp 7
Kênh youtube
Toán 8
Tài liệu Toán 8
Đề Cương Toán 8
Đề giữa HK1 Toán 8
Đề HK1 Toán 8
Đề giữa HK2 Toán 8
Đề HK2 Toán 8
Đề khảo sát Toán 8
Đề HSG Toán 8
Giáo án toán 8
Khóa học lớp 8
Kênh youtube
Toán 9
Tài liệu Toán 9
Đề Cương Toán 9
Đề giữa HK1 Toán 9
Đề HK1 Toán 9
Đề giữa HK2 Toán 9
Đề HK2 Toán 9
Đề khảo sát Toán 9
Đề HSG Toán 9
Giáo án toán 9
Khóa học lớp 9
Kênh youtube
Thi vào lớp 10
Đề thi vào lớp 10
Tài liệu thi vào lớp 10
Khóa học lớp 10
Kênh youtube
SGK-SBT
Sách Bài Tập THCS
Sách Giáo Khoa THCS
Kênh youtube
Khóa học
Lớp 3
Lớp 4
Lớp 5
Lớp 6
Lớp 7
Lớp 8
Lớp 9
Lớp 10
Lớp 11
Lớp 12
Kênh youtube
socolive
https://kubet.memorial/
69VN
69VN
69VN
69VN
69VN
bk8
Xem
bóng đá Xoilac
hôm nay
Link
Xoilaclink TV
hay
1gom
Tài xỉu online
1GOM
Tài xỉu online
sv389
Hay88
Xoilac TV
Cakhia
https://u88.press/
OKVIP
Mu88
nohu90
tai xiu online
100vip
cá cược bóng đá
789club
789club
Hubet đăng nhập
okvip
TOBET88
Sun win
789club
CF68
Gi8
Hubet đăng nhập
https://luongsontv5.com/
keonhacai.com.vc
https://gamebaidoithuong.com.se
rikvip.com
go88
http://fun88.sc/
bong88.org.vc
viva88.org.mx
789club.com.se
12bet.racing
az888.eu.com
88bet.eu.com
ok9.co.im
bongvip.com.mx
fb68.com.im
23win.eu.com
mocbai.eu.com
king88.uk.com
SV 368
goal123.com.de
mocbai.com.mx
mmlive.com.de
suncity.com.im
happyluke.com.se
88nn.com.de
B 29
King fun
KWin 68
R 88
KWIN
BAY 789
SAO 789
SAM 86
CF 68
hitclub
sunwin
https://nhacaiuytin.pizza/xoc-dia-online
keonhacai
B52Club
sunwin
Go88 Vip
game đổi thưởng
gemwin
K8cc
BJ88
Sunwin
79king
okvip
SunWin
Go88
N88
Xoso333
999BET
alo789
ev88
Choáng Club
Sonclub
j88
SumVip
789P
https://www0.jp.net
sv88
rikvip
Yo88
wingstep.io
kuraiinu.com
resaletherapyps.com
tanguyottomor.com
fun 88
23win
33Win
Okvip
88nn
hb88.recipes
98win.us.com
33win.moda
xoso66.property
188bet.eu.com
happyluke
https://vvvwin.com.de/
luck8
xin88
Trang chủ
»
Tài liệu thi vào lớp 10
Tài liệu thi vào lớp 10
-- Tất cả chủ đề --
Ôn tập toán vào 10 cơ bản (gồm nhiều chuyên đề)
Ôn tập toán vào 10 chuyên, nâng cao (gồm nhiều chuyên đề)
Chủ đề 1: Các bài toán về căn thức, rút gọn biểu thức, chứng minh đẳng thức
Chủ đề 2: Hàm số bậc nhất, bậc hai, phương trình bậc 2, vi-et
Chủ đề 3: Phương trình, hệ phương trình, bất phương trình
Chủ đề 4: Giải bài toán bằng lập phương trình, hệ phương trình
Chủ đề 5: Bất đẳng thức, tìm GTNN, GTLN
Chủ đề 6: Xác suất, thống kê
Chủ đề 7: Các chuyên đề hình học
Chủ đề 8: Toán thực tế
Chủ đề 9: Toán trắc nghiệm
Chủ đề 10: Số học, tổ hợp
Chủ đề 11: đa thức
Giải bài toán bằng cách lập phương trình, h...
401 view
Chuyên đề hệ phương trình ôn thi vào lớp 10 ...
286 view
Chuyên đề hàm số bậc nhất, hàm số bậc hai...
264 view
Chuyên đề biến đổi đại số
249 view
Bất đẳng thức nhỏ công hiệu to
105 view
Chuyên đề parabol ôn thi lớp 10 môn toán
261 view
Sáng tạo trong giải toán hình học thcs
329 view
Ứng dụng của tính chất dãy tỉ số bằng nhau
105 view
Nguyên tắc cực hạn trong giải toán
551 view
Chuyên đề phương trình nghiệm nguyên
1297 view
Sử dụng đồng dư thức để giải toán
169 view
Tính chất đặc biệt của hình vuông và áp dụng
102 view
Một số dạng tổ hợp thường gặp trong kì th...
190 view
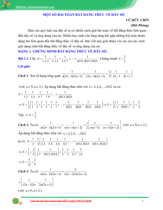
Một số dạng toán về bất đẳng thức dãy số
96 view
Một số dạng toán rời rạc luyện thi vào lớ...
152 view
MỐI LIÊN HỆ GIỮA HỆ SỐ VÀ NGHIỆM CHUNG CỦ...
98 view
Chuyên đề số nguyên tố bồi dưỡng học sinh...
121 view
Tìm số tận cùng của số tự nhiên
51 view
QUAN HỆ GIỮA CÁC ĐƯỜNG CAO TRONG TAM GIÁC VÀ ...
230 view
Một số phương pháp giải phương trình chứa ...
83 view
Trang đầu
<<
1
2
3
4
5
6
7
8
9
10
11
12
13
14
15
16
17
>>
Trang cuối