Giới thiệu
Thảo luận
File word
Liên hệ
Đăng ký VIP
Đăng nhập
Đăng ký
Toán 6
Tài liệu Toán 6
Đề Cương Toán 6
Đề giữa HK1 Toán 6
Đề HK1 Toán 6
Đề giữa HK2 Toán 6
Đề HK2 Toán 6
Đề khảo sát Toán 6
Đề HSG Toán 6
Giáo án toán 6
Khóa học lớp 6
Kênh youtube
Toán 7
Tài liệu Toán 7
Đề Cương Toán 7
Đề giữa HK1 Toán 7
Đề HK1 Toán 7
Đề giữa HK2 Toán 7
Đề HK2 Toán 7
Đề khảo sát Toán 7
Đề HSG Toán 7
Giáo án toán 7
Khóa học lớp 7
Kênh youtube
Toán 8
Tài liệu Toán 8
Đề Cương Toán 8
Đề giữa HK1 Toán 8
Đề HK1 Toán 8
Đề giữa HK2 Toán 8
Đề HK2 Toán 8
Đề khảo sát Toán 8
Đề HSG Toán 8
Giáo án toán 8
Khóa học lớp 8
Kênh youtube
Toán 9
Tài liệu Toán 9
Đề Cương Toán 9
Đề giữa HK1 Toán 9
Đề HK1 Toán 9
Đề giữa HK2 Toán 9
Đề HK2 Toán 9
Đề khảo sát Toán 9
Đề HSG Toán 9
Giáo án toán 9
Khóa học lớp 9
Kênh youtube
Thi vào lớp 10
Đề thi vào lớp 10
Tài liệu thi vào lớp 10
Khóa học lớp 10
Kênh youtube
SGK-SBT
Sách Bài Tập THCS
Sách Giáo Khoa THCS
Kênh youtube
Khóa học
Lớp 3
Lớp 4
Lớp 5
Lớp 6
Lớp 7
Lớp 8
Lớp 9
Lớp 10
Lớp 11
Lớp 12
Kênh youtube
socolive
https://kubet.memorial/
69VN
69VN
69VN
69VN
69VN
bk8
Xem
bóng đá Xoilac
hôm nay
Link
Xoilaclink TV
hay
1gom
Tài xỉu online
1GOM
Tài xỉu online
sv389
Hay88
Xoilac TV
Cakhia
https://u88.press/
OKVIP
Mu88
nohu90
tai xiu online
100vip
cá cược bóng đá
789club
789club
Hubet đăng nhập
okvip
TOBET88
Sun win
789club
CF68
Gi8
Hubet đăng nhập
https://luongsontv5.com/
keonhacai.com.vc
https://gamebaidoithuong.com.se
rikvip.com
go88
http://fun88.sc/
bong88.org.vc
viva88.org.mx
789club.com.se
12bet.racing
az888.eu.com
88bet.eu.com
ok9.co.im
bongvip.com.mx
fb68.com.im
23win.eu.com
mocbai.eu.com
king88.uk.com
SV 368
goal123.com.de
mocbai.com.mx
mmlive.com.de
suncity.com.im
happyluke.com.se
88nn.com.de
B 29
King fun
KWin 68
R 88
KWIN
BAY 789
SAO 789
SAM 86
CF 68
hitclub
sunwin
https://nhacaiuytin.pizza/xoc-dia-online
keonhacai
B52Club
sunwin
Go88 Vip
game đổi thưởng
gemwin
K8cc
BJ88
Sunwin
79king
okvip
SunWin
Go88
N88
Xoso333
999BET
alo789
ev88
Choáng Club
Sonclub
j88
SumVip
789P
https://www0.jp.net
sv88
rikvip
Yo88
wingstep.io
kuraiinu.com
resaletherapyps.com
tanguyottomor.com
fun 88
23win
33Win
Okvip
88nn
hb88.recipes
98win.us.com
33win.moda
xoso66.property
188bet.eu.com
happyluke
https://vvvwin.com.de/
luck8
xin88
Trang chủ
»
Tài liệu Toán 9
Tài liệu Toán 9
-- Tất cả chủ đề --
Toán 9 cơ bản (gồm nhiều chuyên đề)
Toán 9 nâng cao (gồm nhiều chuyên đề)
Chủ đề 1: Biểu thức đại số, rút gọn biểu thức
Chủ đề 2: Hàm số bậc nhất, bậc hai, phương trình bậc 2, vi-et
Chủ đề 3: Phương trình, hệ phương trình, bất phương trình
Chủ đề 4: Giải bài toán bằng lập phương trình, hệ phương trình
Chủ đề 5: Bất đẳng thức, tìm GTNN, GTLN
Chủ đề 6: Xác suất, thống kê, đa thức
Chủ đề 7: Các chuyên đề hình học
Chủ đề 8: Toán thực tế
Chủ đề 9: Toán trắc nghiệm
Chủ đề 10: Số học, tổ hợp
Tìm hệ thức không phụ thuộc vào tham số
117 view
Tìm điều kiện của biểu thức đại số th...
88 view
Tính giá trị biểu thức nhiều biến có điều...
112 view
Tính giá trị biểu thức đại số một biến
91 view
Rút gọn biểu thức đại số
131 view
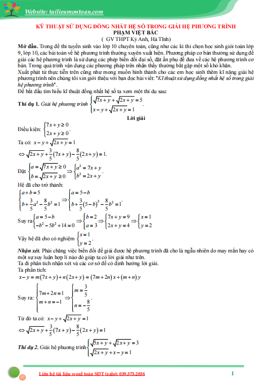
Kĩ thuật đồng nhất hệ số để giải hệ ph...
99 view
Các bài toán số học từ đề thi vào lớp 10 c...
274 view
Các dạng toán về số nguyên tố
119 view
Khai thác một số tính chất quen thuộc để gi...
82 view
Sử dụng biệt thức dental để giải phương tr...
133 view
Phương pháp quy nạp toán học
104 view
Phương pháp tính tổng của một dãy số
119 view
Khai thác một số bài toán về số hữu tỷ
92 view
Vận dụng hệ thức lượng trong đường tròn ...
153 view
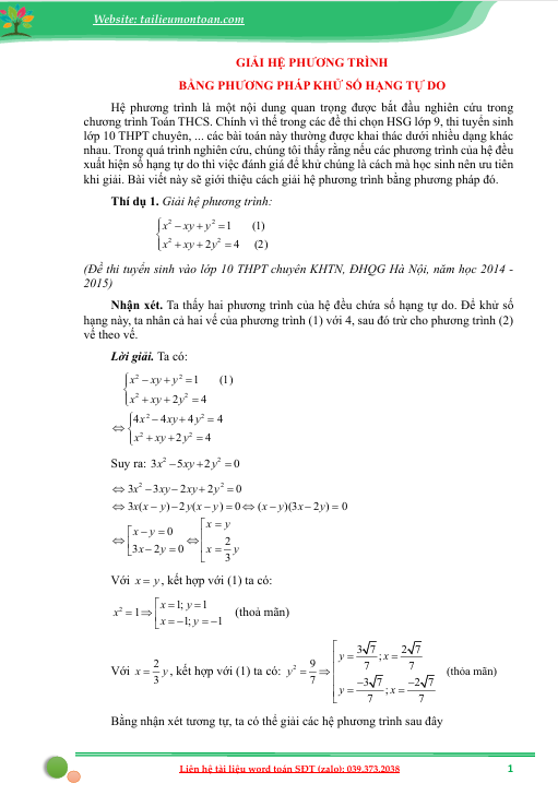
Giải hệ phương trình bằng phương pháp khử h...
183 view
Ước chung, ước chung lớn nhất và ứng dụng
105 view
Phương trình chứa phần nguyên
124 view
Phương trình, hệ phương trình chứa phần lẻ
73 view
Số chính phương và ứng dụng số chính phươn...
153 view
Bội chung, bội chung nhỏ nhất và ứng dụng
87 view
Trang đầu
<<
1
2
3
4
5
6
7
8
9
>>
Trang cuối